AI Generated Child Travel Consent for use in the United States
PDF & Word - 2026 Updated

Docaro Pricing
When Do You Need a Child Travel Consent in the United States?
- Child Traveling Without Both ParentsIf your child is traveling alone or with only one parent or guardian, this document shows that the other parent or guardian agrees to the trip.
- International TravelMany countries require proof of consent from both parents to prevent child abduction, making this form essential for border crossings.
- Travel with Non-Parent AdultsWhen a child travels with relatives, friends, or teachers, the consent form clarifies that the parents approve and provides emergency contact details.
- Domestic Flights or TripsAirlines and authorities may ask for this document to verify the child's travel arrangements, especially for unaccompanied minors.
- Avoiding Travel DelaysA well-drafted consent form helps prevent issues at airports or borders by providing clear, official permission and important information.
- Legal Protection for ParentsHaving this document ready protects parents from misunderstandings and ensures smooth, hassle-free travel for their child.
American Legal Rules for a Child Travel Consent
- No Federal RequirementThere is no nationwide U.S. law mandating a child travel consent form, but it can prevent issues with airlines or border officials.
- State VariationsRules for child custody and travel differ by state, so check local laws if parents are separated or divorced.
- International Travel NeedsFor trips outside the U.S., many countries require a notarized consent letter from non-traveling parents to avoid child abduction concerns.
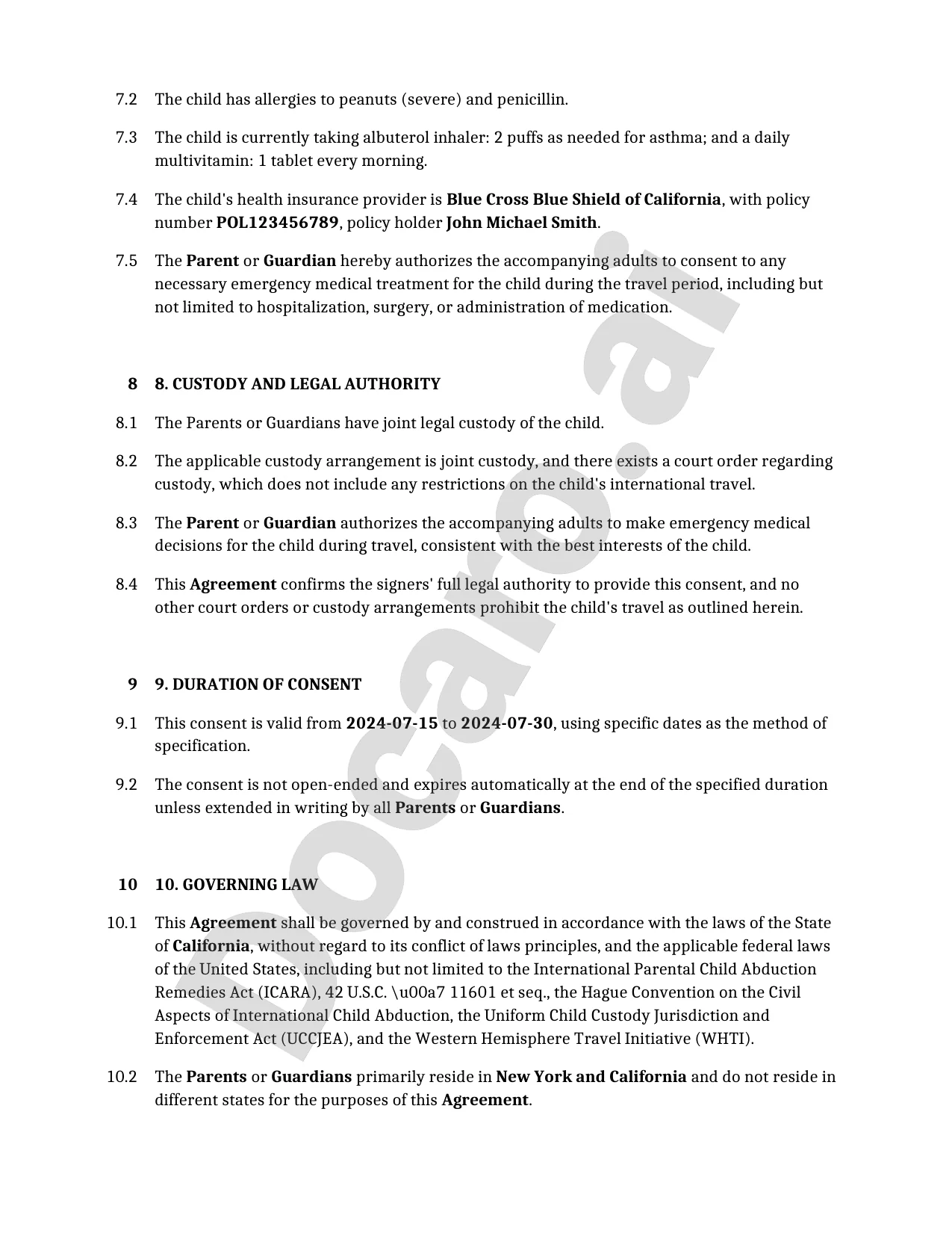
- Key Document DetailsThe form should include the child's info, travel plans, parent's contact details, and be signed by all involved guardians.
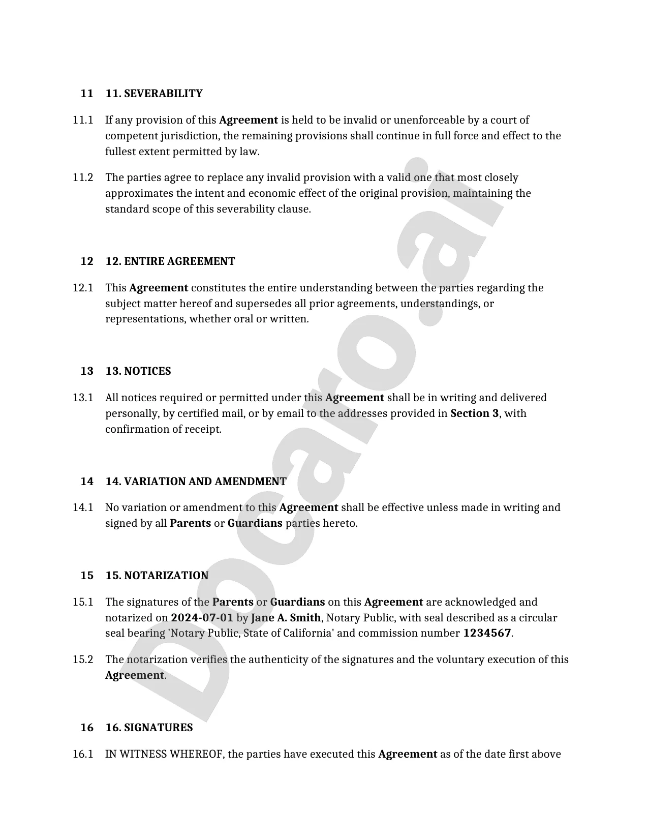
- Notarization RecommendedGetting the consent notarized adds credibility and is often required for international travel or by airlines.
- Custody ConsiderationsIf there's a custody order, ensure it allows the travel; otherwise, court approval may be needed.
Using the wrong structure for a child travel consent form may render it invalid or insufficient to satisfy international or state-specific legal requirements.
What a Proper Child Travel Consent Should Include
- Child's DetailsInclude the child's full name, date of birth, and passport number to clearly identify them.
- Travel PlansSpecify the destination, dates of travel, and full itinerary including flights and accommodations.
- Accompanying AdultsList the names and relationships of any adults traveling with the child, or note if the child is traveling alone.
- Parental ConsentState that the parents or legal guardians give permission for the child to travel.
- Emergency ContactsProvide contact information for parents, guardians, and any emergency medical contacts.
- Health InformationMention any allergies, medications, or medical conditions the child has.
- Authorization for CareAllow the accompanying adult to make decisions about the child's care during the trip if needed.
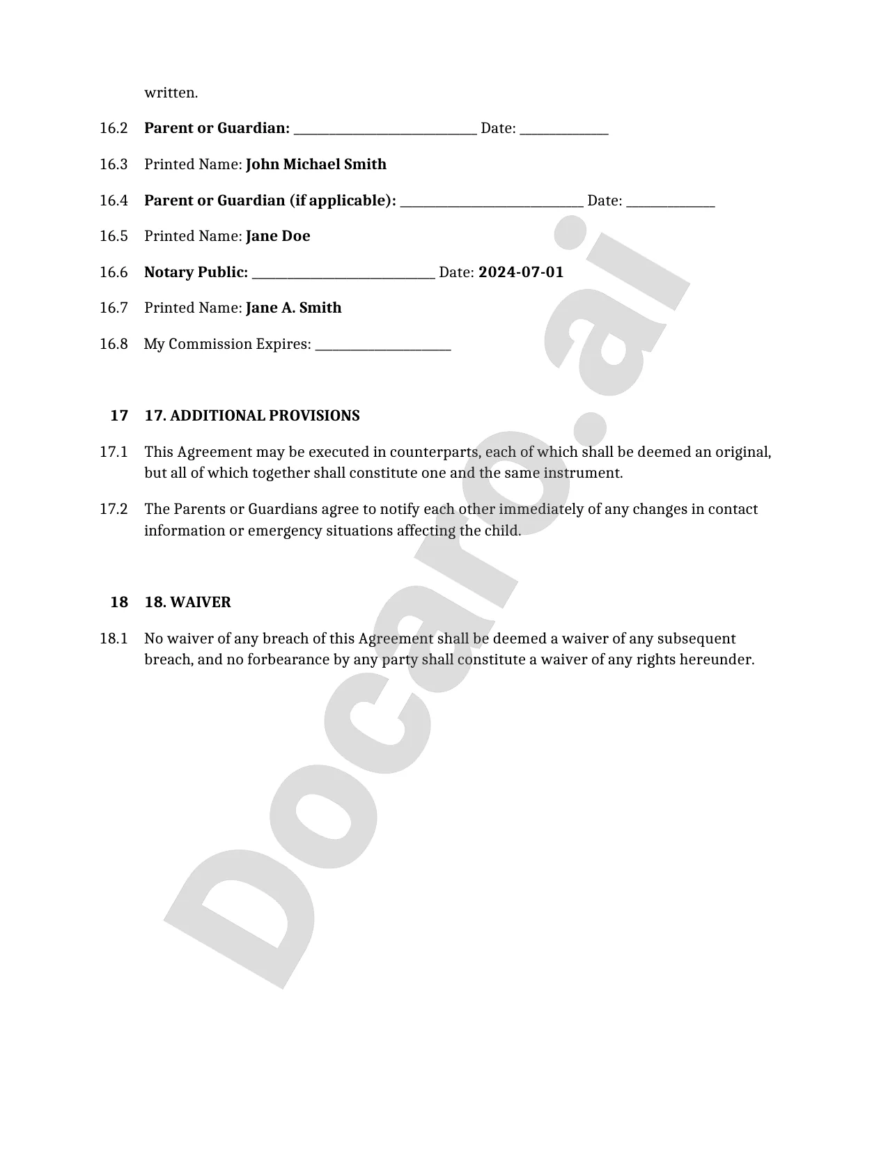
- Signatures and DatesHave both parents or guardians sign and date the document to make it official.
Why Free Templates Can Be Risky for Child Travel Consent
Free child travel consent templates often use generic language that fails to address specific circumstances, such as the child's age, travel itinerary, or parental custody arrangements. This can result in incomplete documentation that border officials or airlines may reject, leading to denied boarding or legal complications abroad.
An AI-generated bespoke child travel consent form tailors the document precisely to your unique situation, incorporating all relevant details like emergency contacts, medical permissions, and authorization specifics to ensure it's comprehensive, valid, and readily accepted by authorities.
Generate Your Document in 4 Easy Steps
Why Use Our Docaro?
United StatesFree Example Child Travel Consent Template
Below is a free template example of a Child Travel Consent for use in the United States generated by our AI model.
The clauses in your actual Child Travel Consent will vary from this example as they will be entirely bespoke to your requirements as set out in the questionnaire you complete.

Useful Resources When Considering a Child Travel Consent in the United States
United States Reference Legislation
Child Travel Consent FAQs
Document Generation FAQs
Related Articles






