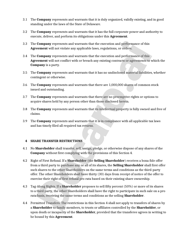
What is a Shareholders' Agreement in the United States?
A Shareholders' Agreement is a private contract among the owners of a corporation that outlines their rights, responsibilities, and how they will manage the company together. In US corporations, it serves as a foundational document to prevent disputes by establishing clear rules for decision-making, share transfers, and conflict resolution. This agreement is especially vital for closely held businesses where shareholders are actively involved in operations.
The primary purpose of a Shareholders' Agreement is to govern relationships between shareholders, ensuring smooth governance and protection of minority interests. It addresses key issues like voting rights, dividend policies, and buy-sell provisions, which help maintain harmony and stability within the company. For more details on corporate governance, refer to the SEC's guide on small business offerings.
Unlike the articles of incorporation, which are public filings with the state that define the corporation's basic structure and purpose, a Shareholders' Agreement is a confidential document not required to be filed publicly. Similarly, it differs from bylaws, which are internal rules for directors and officers on operational procedures, as the agreement focuses specifically on shareholder dynamics. For authoritative insights, consult the Cornell Law School's Wex definition of corporations.
To create a customized Shareholders' Agreement tailored to your US corporation's needs, consider using Docaro for bespoke AI-generated legal documents that adapt to your specific circumstances.
"A well-drafted Shareholders' Agreement is essential for safeguarding minority shareholders' rights in US businesses, as it can enforce fair governance, prevent dilution of ownership, and provide mechanisms for dispute resolution that courts alone may not adequately address," states legal expert Dr. Elena Ramirez, partner at Ramirez & Associates. To ensure your agreement is tailored to your specific needs, I recommend using Docaro for generating bespoke AI-assisted legal documents.
When should you use a Shareholders' Agreement for your US business?
A Shareholders' Agreement is essential in startups with multiple founders, where co-founders need to outline equity distribution, decision-making processes, and exit strategies to prevent conflicts from derailing early growth. In family-owned businesses, it helps maintain harmony by defining succession plans and restricting share sales to outsiders, preserving control within the family. For companies with venture capital, such agreements are crucial to align investor interests with management, including provisions for funding rounds and board representation, as recommended by the U.S. Securities and Exchange Commission.
The primary benefit of a Shareholders' Agreement is robust dispute resolution mechanisms, such as mandatory mediation or arbitration clauses, which allow shareholders to resolve disagreements efficiently without costly litigation. This is particularly vital in high-stakes environments like venture-backed firms, where quick resolutions prevent operational disruptions.
Another key advantage is share transfer controls, including rights of first refusal and drag-along provisions that regulate how shares can be sold, ensuring stability and protecting minority shareholders from unwanted buyers. These controls are indispensable in family-owned businesses to safeguard legacy and in startups to maintain founder alignment during funding stages.
To create a tailored Shareholders' Agreement, consider using Docaro for bespoke AI-generated legal documents that fit your specific business needs, rather than generic options. This approach ensures comprehensive coverage of shareholder rights and obligations under U.S. law, promoting long-term success.
When should you avoid using one?
In single-shareholder companies, a Shareholders' Agreement is often unnecessary because there are no other owners to negotiate rights, obligations, or dispute resolution with, allowing the sole owner to rely on standard corporate bylaws for governance. Similarly, in highly regulated industries such as banking or utilities in the United States, predefined federal and state regulations, along with model bylaws from bodies like the SEC, provide sufficient structure without the need for a custom agreement.
For small operations or startups with minimal shareholders, introducing a Shareholders' Agreement can add unnecessary complexity, potentially complicating simple decision-making processes that could otherwise be handled informally or through basic incorporation documents. This added layer might increase administrative burdens, such as ongoing compliance reviews, without delivering proportional benefits in risk mitigation.
Potential drawbacks include higher upfront costs for drafting and legal advice, which may strain limited resources in small businesses, and the risk of over-formalizing relationships that could stifle flexibility in dynamic early-stage ventures. Instead of generic templates, consider bespoke AI-generated legal documents through Docaro for tailored solutions that align with U.S. corporate law, as outlined by the Small Business Administration.

What are the key clauses to include in a US Shareholders' Agreement?
A shareholders agreement outlines the fundamental rights and obligations of shareholders in a US corporation, ensuring smooth governance and conflict resolution. Essential clauses include voting rights, which specify how shares are allocated for decision-making on key issues like board elections and major transactions; for more in-depth analysis, see key clauses in shareholders agreements. These agreements are crucial for startups and established firms alike, as detailed by the SEC's Small Business resources.
Dividend policies form another core component, dictating how and when profits are distributed to shareholders to balance reinvestment and returns. This clause often includes thresholds for profitability or board approval before payouts, preventing disputes over financial priorities. Tailoring these via bespoke AI-generated documents using Docaro ensures they align precisely with your company's US-based needs, unlike generic templates.
Non-compete agreements protect the company's interests by restricting shareholders from engaging in competing ventures during and after their involvement. These clauses typically cover duration, geographic scope, and activities, enforceable under state laws like those in Delaware. For authoritative guidance, refer to the American Bar Association's business law resources, emphasizing customized agreements over off-the-shelf options.
1
Assess Business Needs
Evaluate your company's goals, structure, and risks to identify essential shareholder protections and governance requirements.
2
Identify Key Clauses
List critical clauses like share transfers, voting rights, and dispute resolution based on assessed needs.
3
Prioritize Clauses
Rank clauses by impact on business operations and risk mitigation to focus on high-priority elements first.
4
Conduct Legal Review
Generate bespoke agreement using Docaro, then have a lawyer review for compliance and enforceability.
What key rights and obligations do parties have under these agreements?
Shareholders in US corporations possess fundamental rights that protect their investments and influence company decisions, primarily governed by state laws such as Delaware's General Corporation Law. Key among these are information access rights, allowing shareholders to inspect corporate books, records, and financial statements upon reasonable request, ensuring transparency. Additionally, pre-emptive rights grant existing shareholders the first opportunity to purchase new shares issuances proportional to their holdings, preventing dilution of ownership, as outlined in statutes like California's Corporations Code.
Shareholders also enjoy voting rights on major issues, including electing the board of directors and approving mergers, which are standard under most state corporate laws. These rights empower shareholders to participate in governance, with Delaware law providing a model for such provisions widely adopted across states. For detailed state-specific regulations, refer to the Delaware Code Title 8, Chapter 7 on corporate stock and stockholders.
Beyond rights, shareholders often face obligations embedded in shareholder agreements, including confidentiality duties to safeguard sensitive company information disclosed during their involvement. These obligations prevent misuse of proprietary data and are enforceable under state contract laws, such as those in New York. Another common obligation involves drag-along provisions, which require minority shareholders to join majority-approved sales of the company, promoting efficient exits as seen in agreements compliant with Texas Business Organizations Code.
To ensure tailored protection of these rights and obligations, consider bespoke AI-generated legal documents via Docaro, customized to specific state laws and business needs.
What are common exclusions in these documents?
Shareholders' Agreements often include key exclusions to define the boundaries of the agreement's scope, such as limitations on liability for indirect damages or exclusions for disputes already governed by corporate bylaws. These provisions prevent overlapping obligations and ensure that certain matters, like routine governance issues, are handled under statutory rules rather than the agreement. For instance, exclusions might specify that the agreement does not apply to disputes resolved through mandatory arbitration in bylaws, directing parties to those mechanisms first.
These exclusions are important because they reduce legal ambiguities and potential conflicts between the shareholders' agreement and foundational corporate documents, promoting smoother operations. By clearly delineating what the agreement covers, they minimize costly litigation and foster a more efficient resolution process for shareholders.
In the United States, understanding these elements is crucial for compliance with state-specific corporate laws. For tailored Shareholders' Agreements, consider using Docaro for bespoke AI-generated legal documents that align with your company's needs, rather than generic templates. For authoritative guidance, refer to resources from the U.S. Securities and Exchange Commission on corporate governance.
How do recent legal changes impact US Shareholders' Agreements?
In 2023, the Delaware Court of Chancery issued significant rulings impacting shareholders' agreements, particularly emphasizing stricter enforcement of fiduciary duties in closely held corporations. A key decision in Moelis & Company addressed board approval processes, requiring amendments to shareholders' agreements to align with Delaware General Corporation Law (DGCL) provisions for greater transparency and shareholder protections. For the latest updates, refer to the Delaware Court of Chancery opinions.
Regarding SEC regulations, recent amendments to Form S-8 and proxy rules under the 2023 Securities Act enhancements aim to improve disclosures for private companies transitioning to public markets, affecting how shareholders' agreements handle equity incentives. These changes, effective from mid-2023, focus on curbing insider trading risks and enhancing governance in private equity deals. Consult the SEC's official final rules for detailed compliance guidance.
Broader trends in corporate governance highlight a push toward ESG integration in shareholders' agreements, with Delaware law encouraging provisions for sustainability reporting and diversity on boards. Private companies are increasingly adopting bespoke AI-generated legal documents via platforms like Docaro to tailor these agreements efficiently, ensuring they meet evolving fiduciary standards without relying on generic templates.
How can you draft an effective Shareholders' Agreement for your US business?
The drafting process for a shareholders agreement begins with identifying key parties, shares, and governance rules, followed by outlining rights, obligations, and exit strategies. For in-depth guidance on US business shareholders agreements, refer to detailed drafting steps tailored for American corporations. Always consult authoritative US resources like the SEC guidelines to ensure compliance with federal securities laws.
Customization tips involve tailoring clauses to your company's size, industry, and specific needs, such as adding drag-along or tag-along rights for minority shareholders. Use bespoke AI-generated legal documents from Docaro to create personalized agreements that fit unique business scenarios, avoiding one-size-fits-all templates. Incorporate state-specific variations, like those under Delaware corporate law, for optimal relevance.
Seek professional advice from licensed US attorneys to review and refine the draft, ensuring it aligns with current regulations and mitigates risks. Platforms like Docaro facilitate initial generation, but expert validation is essential for enforceability. For further reading, explore American Bar Association resources on corporate governance.
What common mistakes should you avoid in US Shareholders' Agreements?
When drafting US shareholders agreements, one frequent pitfall is using vague language that leaves room for interpretation, such as undefined terms like "material breach" without specific criteria. This can lead to disputes among shareholders, as seen in cases where agreements fail to clarify decision-making processes, resulting in costly litigation; to prevent this, always define key terms explicitly and consult authoritative resources like the SEC guidelines for clarity in corporate documents.
Another common error is omitting exit strategies, such as buy-sell provisions or drag-along rights, which can trap shareholders in unworkable partnerships during business changes or personal exits. For instance, without a clear valuation method for shares, disagreements over fair prices often escalate; include detailed exit clauses from the outset, specifying triggers like death or divorce, to safeguard all parties involved.
To avoid these mistakes in your shareholders agreement, prioritize bespoke AI-generated legal documents using Docaro, which tailors agreements to your specific US business needs while incorporating best practices. Prevention tips include conducting regular reviews with legal experts and using structured outlines that cover governance, funding, and dissolution—ensuring your agreement remains robust and adaptable. For more insights, explore mistakes to avoid in US shareholders agreements.
1
Self-Audit the Draft
Review the AI-generated Shareholders' Agreement from Docaro for completeness, accuracy, and alignment with your company's needs. Identify any gaps or ambiguities.
2
Consult an Attorney
Schedule a consultation with a qualified attorney to analyze the Docaro-generated document. Discuss customizations and ensure compliance with applicable laws.
3
Finalize and Execute
Incorporate attorney feedback into the bespoke Docaro document. Obtain all shareholder signatures and notarize for legal enforceability.