AI Generated British Prenuptial Agreement
PDF & Word - 2026 Updated

Docaro Pricing
When do you need a Prenuptial Agreement in the United Kingdom?
- Protecting Personal AssetsIf you have property, savings, or family heirlooms before marriage, a prenup ensures they remain yours if the marriage ends.
- Safeguarding Business InterestsFor business owners, a prenup can shield your company from being divided during a divorce, keeping your hard work secure.
- Blending Finances from Past RelationshipsWhen you have children from a previous relationship, a prenup helps protect their inheritance rights by clarifying asset distribution.
- Unequal Financial SituationsIf one partner has significantly more wealth, a prenup prevents disputes by agreeing upfront on how assets will be handled.
- Planning for the UnexpectedA well-drafted prenup provides peace of mind by outlining what happens in case of divorce or death, reducing stress for everyone involved.
- Avoiding Costly Court BattlesHaving a clear prenup can save time and money by minimizing arguments over money in family court proceedings.
British Legal Rules for a Prenuptial Agreement
- Not Legally BindingPrenuptial agreements in the UK are not automatically enforceable by law, but courts may consider them if they meet certain standards.
- Full Financial DisclosureBoth partners must openly share all details about their finances and assets for the agreement to be taken seriously.
- Independent Legal AdviceEach person should get advice from their own separate lawyer to ensure they understand and agree freely.
- Fair and Reasonable TermsThe agreement must be fair to both sides and not leave anyone in financial hardship, especially if circumstances change.
- Signed Well in AdvanceIt should be prepared and signed at least a few weeks before the wedding to avoid any pressure or rush.
- Court's Final SayIn a divorce, the judge decides if the agreement influences the settlement based on what's best for both parties.
Using the wrong type of prenuptial agreement can render it unenforceable under UK law.
What a Proper Prenuptial Agreement Should Include
- Full Financial DisclosureBoth partners must openly share all details about their assets, debts, and income to ensure transparency and fairness.
- Identification of AssetsClearly list all separate and shared property, such as homes, savings, and investments, to distinguish what belongs to each person.
- Division of Assets on DivorceOutline how property and money will be split if the marriage ends, helping to avoid disputes later.
- Spousal MaintenanceSpecify any financial support one partner might provide to the other after separation, based on individual needs.
- Rights for ChildrenAddress arrangements for any children from the marriage, focusing on their welfare and support.
- Debts and LiabilitiesDetail how existing and future debts will be handled to protect each partner's financial interests.
- Independence ClauseState that the agreement allows each partner to manage their own career and finances without interference.
- Review and UpdatesInclude provisions to revisit and adjust the agreement if major life changes occur, like having children or career shifts.
Why Free Templates Can Be Risky for Prenuptial Agreements
Free prenuptial agreement templates often use generic language that fails to account for individual circumstances, such as specific assets, debts, or future intentions, potentially leading to unenforceable clauses, disputes over property division, or unintended financial liabilities during divorce.
AI-generated bespoke prenuptial agreements are tailored precisely to your unique situation, incorporating personalized details like asset valuations, spousal support preferences, and jurisdiction-specific requirements to ensure a robust, enforceable document that protects both parties effectively.
Generate Your Document in 4 Easy Steps
Why Use Our Docaro?
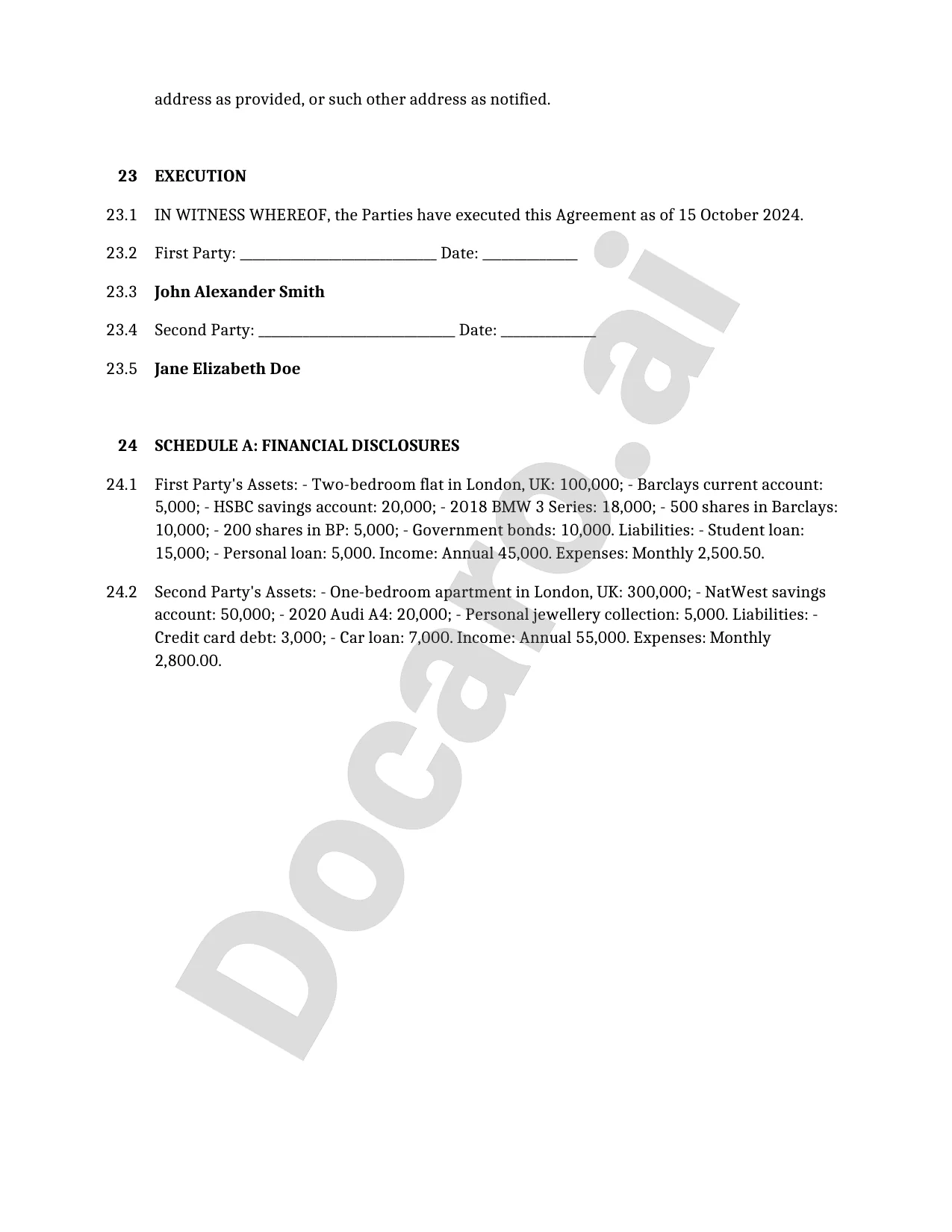
United KingdomFree Example Prenuptial Agreement Template
Below is a free template example of a Prenuptial Agreement for use in the United Kingdom generated by our AI model.
The clauses in your actual Prenuptial Agreement will vary from this example as they will be entirely bespoke to your requirements as set out in the questionnaire you complete.

Useful Resources When Considering a Prenuptial Agreement in the United Kingdom
United Kingdom Reference Legislation
Prenuptial Agreement FAQs
Document Generation FAQs
Related Articles









