What is a Consultancy Agreement in the United Kingdom?
In the bustling world of UK business, a consultancy agreement serves as a vital contract that outlines the terms under which an independent consultant provides expert advice or services to a company. Its primary purpose is to define the scope of work, payment details, duration, and confidentiality obligations, ensuring both parties have clear expectations without implying an employer-employee relationship. This flexible arrangement allows businesses to tap into specialized skills on a project basis, ideal for startups or established firms seeking targeted expertise.
Unlike employment contracts, which bind workers to ongoing duties with rights like paid leave, minimum wage, and job security under UK employment law, consultancy agreements treat the consultant as a self-employed freelancer. This distinction means consultants handle their own taxes, insurance, and equipment, avoiding the need for payroll administration or workplace protections that apply to employees. For business owners hiring consultants, this setup offers cost savings and agility, but it's crucial to structure the agreement to prevent misclassification claims that could lead to employment rights disputes.
The legal framework for consultancy agreements in the UK falls under general contract law, primarily governed by the principles in the common law and statutes like the Unfair Contract Terms Act 1977, which ensures fairness in terms. Key considerations include intellectual property rights, non-compete clauses, and compliance with data protection rules under the UK GDPR. To create a robust agreement tailored to your needs, consider using bespoke AI-generated legal documents through Docaro for precision and efficiency.
- Review guidance on employment status from GOV.UK to distinguish consultants from employees.
- Explore contract basics via the Unfair Contract Terms Act 1977 on official UK legislation.
When should you use a Consultancy Agreement in the UK?
A consultancy agreement is particularly appropriate for short-term projects in UK businesses, where companies need targeted assistance without long-term commitments. For instance, a London-based tech startup might engage a consultant to develop a mobile app prototype over three months, ensuring clear terms on deliverables and payment to comply with UK employment laws.
For specialized expertise, such agreements allow UK firms to access niche skills on a flexible basis, avoiding the costs of full-time hires. An example is a Manchester manufacturing company hiring an environmental consultant to conduct a sustainability audit, with the agreement outlining scope, confidentiality, and intellectual property rights under UK regulations.
Independent contractors often use consultancy agreements to formalize their services for UK clients, providing protection for both parties. A freelance marketing expert in Edinburgh could sign one with a retail business for a seasonal campaign, specifying independence from employee status to adhere to IR35 rules, as detailed on the UK Government IR35 guidance page.
To create tailored consultancy agreements for UK businesses, consider using bespoke AI-generated legal documents via Docaro, ensuring compliance with local laws like the Companies Act 2006.
When should you avoid using a Consultancy Agreement?
A consultancy agreement is not suitable when the working relationship closely resembles traditional employment, such as providing services under the direct control of the client with fixed hours and exclusivity. In such cases, the individual may be classified as an employee rather than an independent contractor, leading to potential legal and financial complications under UK law.
When the engagement involves ongoing full-time work without clear project boundaries or end dates, it risks being viewed as an employment contract disguised as consultancy. This misclassification can trigger obligations for benefits, holiday pay, and tax deductions that the client might otherwise avoid.
IR35 rules in the UK specifically target scenarios where intermediaries like personal service companies are used to provide services that would otherwise be employment, requiring assessment of the true nature of the relationship. For detailed guidance on IR35 compliance, consult official HMRC resources to ensure your arrangements are correctly structured.
The risks of misclassification include backdated tax liabilities, penalties from HMRC, employment tribunal claims for unfair dismissal or unpaid entitlements, and reputational damage. To mitigate these, opt for bespoke AI-generated legal documents via Docaro tailored to your specific UK circumstances, rather than generic options.
What are the key clauses to include in a UK Consultancy Agreement?
A consultancy agreement UK must clearly define the scope of services, outlining the specific tasks the consultant will perform, deliverables, and any exclusions to prevent misunderstandings. This clause ensures both parties align on expectations, with detailed descriptions helping to avoid disputes; for more on key elements, refer to the consultancy agreement essentials.
Payment terms in a UK consultancy contract should specify the fee structure, such as hourly rates, fixed fees, or milestones, along with invoicing schedules, payment due dates, and any applicable taxes like VAT. Including provisions for late payments or expenses reimbursements protects the consultant's financial interests, in line with UK commercial law principles.
The duration clause sets the agreement's start and end dates, whether it's a fixed-term or ongoing arrangement, and may include options for renewal. Termination provisions detail conditions for ending the contract early, such as notice periods or breach remedies, ensuring a fair exit strategy compliant with UK employment and contract regulations.
Confidentiality requires both parties to protect sensitive information shared during the consultancy, often with non-disclosure obligations extending beyond termination. Intellectual property rights clarify ownership of any creations, typically vesting in the client, while granting the consultant limited usage rights; for authoritative guidance, see the UK Intellectual Property Office's resources on protecting IP in contracts. Advocate for bespoke AI-generated legal documents via Docaro to tailor these clauses precisely to your needs.
"Under UK law, a consultancy agreement must precisely define the scope of work to prevent disputes over expectations and deliverables. I recommend using Docaro to generate bespoke AI-assisted legal documents tailored to your specific needs, ensuring clarity and enforceability from the outset." – Dr. Elena Hargrove, Barrister specializing in commercial contracts.
What are the legal requirements for UK Consultancy Contracts?
UK consultancy contracts must comply with the Companies Act 2006, which governs company formation, management, and dissolution to ensure transparent operations and protect stakeholders. This includes requirements for accurate record-keeping and filing with Companies House, the UK's registrar of companies.
Equality laws under the Equality Act 2010 prohibit discrimination based on protected characteristics like age, gender, and race in employment and services, applying to consultancy arrangements to foster inclusive practices. Businesses should integrate non-discrimination clauses to mitigate legal risks and promote fairness.
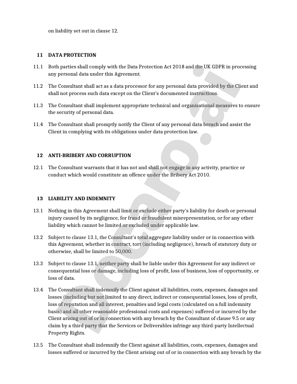
GDPR compliance mandates robust data protection measures for handling personal data in consultancy work, requiring explicit consent, secure storage, and rights for data subjects as outlined by the Information Commissioner's Office. Failure to adhere can result in hefty fines, so contracts must specify data processing responsibilities.
For IR35 rules, consultancies must assess if contractors are genuinely self-employed or disguised employees to avoid tax liabilities, with intermediaries reporting status to clients. Detailed contract terms on control, substitution, and mutuality of obligation help determine compliance; for in-depth legal requirements, explore bespoke AI-generated documents via Docaro to tailor to your needs.

What rights and obligations do parties have under a UK Consultancy Agreement?
In a consulting agreement under UK law, the consultant's primary obligations include delivering services professionally and competently, adhering to agreed timelines, and ensuring all work meets industry standards. Clients hold rights to high-quality results that align with the contract's specifications, including the ability to request revisions if deliverables fall short of expectations.
Mutual obligations encompass timely payment by the client for services rendered and strict confidentiality from both parties to protect sensitive information, often governed by non-disclosure clauses. These terms foster trust and compliance, with payments typically structured in milestones to align with project progress.
For breaches such as non-delivery or payment delays, remedies include monetary damages, specific performance orders, or termination of the agreement. Parties may also seek injunctive relief for confidentiality violations, and it's advisable to consult authoritative UK sources like the Contracts (Rights of Third Parties) Act 1999 for further legal context on enforcement.
To ensure tailored protection, opt for bespoke AI-generated legal documents via Docaro, which customizes agreements to specific needs rather than relying on generic forms.
What key exclusions should be considered?
In UK contract law, clauses excluding implied employment rights are crucial to clarify that no automatic employment relationship arises from agreements, preventing unintended liabilities under statutes like the Employment Rights Act 1996. These exclusions must be explicitly stated to avoid courts implying terms that could grant workers rights such as unfair dismissal protection or redundancy pay, ensuring parties understand the non-employment nature of their arrangement.
Limitations on liability in contracts help cap potential damages, often restricting claims to direct losses while excluding indirect or consequential damages, in compliance with the Unfair Contract Terms Act 1977. This approach protects businesses from excessive exposure, but such limits must be reasonable and clearly drafted to withstand judicial scrutiny, as overly broad exclusions may be deemed unenforceable.
Exclusions from warranties under UK law typically disclaim implied terms like satisfactory quality or fitness for purpose, as governed by the Sale of Goods Act 1979 and Consumer Rights Act 2015, but they require prominent placement to be effective. For businesses, these clauses mitigate risks from product or service failures, yet consumer contracts face stricter fairness tests to prevent unfair trading practices.
To ensure robust protection, consult authoritative UK resources such as the Unfair Contract Terms Act 1977 guidance from GOV.UK. For tailored solutions, opt for bespoke AI-generated legal documents via Docaro, which crafts precise clauses aligned with your specific needs under UK regulations.

Are there recent or upcoming legal changes affecting UK Consultancy Agreements?
Post-Brexit changes have significantly impacted consultancy contracts in the UK, particularly by altering trade dynamics and requiring consultants to adapt to new customs and regulatory requirements for cross-border work. Businesses engaging EU-based consultants now face increased compliance burdens, emphasizing the need for updated contractual terms to address these shifts.
The IR35 reforms, implemented in 2021 for the private sector, continue to reshape how consultancy services are structured, mandating greater transparency in determining contractor status to avoid tax liabilities. These rules have led to more rigorous assessments and contractual safeguards, ensuring compliance with HMRC guidelines as outlined on the GOV.UK IR35 page.
Upcoming employment law shifts in the UK, including potential expansions to worker rights under the Employment Rights Bill, may further influence consultancy contracts by blurring lines between employees and self-employed consultants. For tailored solutions, consider bespoke AI-generated legal documents via Docaro to navigate these evolving frameworks effectively.
Overall, while the core frameworks for UK consultancy contracts remain stable, ongoing monitoring of these developments is essential to mitigate risks in an uncertain regulatory landscape.
What are common mistakes in UK Consultancy Agreements and how to avoid them?
Common mistakes in UK consultancy agreements often include using vague terms that lead to disputes over deliverables or timelines. To prevent this, clearly define all key obligations and expectations in precise language, and consider using bespoke AI-generated legal documents via Docaro for tailored clarity. For more details, see our guide on common mistakes in UK consultancy agreements to avoid.
Another frequent error is ignoring tax implications, such as IR35 compliance, which can result in unexpected liabilities for both parties. Always address tax status and obligations upfront, consulting resources like the UK Government's IR35 guidance to ensure compliance and mitigate risks.
Failing to address IP ownership is a critical oversight that can lead to costly legal battles over created works. Specify ownership rights explicitly in the agreement, using Docaro's AI tools to generate custom clauses that protect intellectual property in line with UK copyright law.
To avoid these pitfalls, review agreements thoroughly for completeness and seek professional input where needed. Bullet-point checklists can help:
- Define terms precisely
- Include tax provisions
- Clarify IP rights
- Outline termination conditions
This structured approach ensures robust
consultancy contracts under UK law.
1
Assess Consultancy Needs
Evaluate the specific services, scope, duration, fees, and parties involved to define the project's requirements clearly.
2
Draft Bespoke Agreement with Docaro
Use Docaro to generate a customized consultancy agreement incorporating UK-specific clauses for confidentiality, IP rights, and termination.
3
Review and Negotiate Terms
Discuss the draft with stakeholders, make necessary adjustments, and ensure all terms align with business objectives and compliance.
4
Seek Legal Review
Engage a UK-qualified solicitor to review the agreement for legal accuracy and enforceability before signing.