AI Generated Notice of Forfeiture for use in the United Kingdom
PDF & Word - 2026 Updated

Docaro Pricing
When do you need a Notice of Forfeiture in the United Kingdom?
- Lease BreachYou need this notice when your tenant breaks a key term in the lease, like not paying rent on time.
- Reclaiming PropertyIt allows you as the landlord to take back control of the property if the tenant doesn't fix the issue quickly.
- Legal ProtectionA well-drafted notice ensures you follow the rules correctly, avoiding disputes or delays in the process.
- Clear CommunicationIt clearly tells the tenant what they've done wrong and what they must do to stay, helping prevent misunderstandings.
- Time SensitivityUsing this notice starts the official clock for eviction, making sure your rights are protected under UK law.
British Legal Rules for a Notice of Forfeiture
- What It IsA notice of forfeiture is a formal warning from a landlord to a commercial tenant that their lease may end due to unpaid rent or other serious breaches.
- When to Use ItUse this notice only for commercial properties when the tenant has broken key lease terms, like missing rent payments.
- Serving the NoticeThe landlord must deliver the notice correctly, either in person, by post, or as specified in the lease agreement.
- Time LimitsThe notice must give the tenant at least a reasonable period, often 14 days, to fix the issue before further action.
- Lease RequirementsCheck the lease for any specific rules on forfeiture, as they can vary by agreement.
- Legal RisksIssuing the notice wrongly can lead to disputes, so it's wise to get professional legal advice.
- Next StepsIf the tenant doesn't respond, the landlord may need court approval to repossess the property.
Using the incorrect type or structure of eviction notice can invalidate the proceedings and fail to comply with UK housing laws.
What a Proper Notice of Forfeiture Should Include
- Full Names and AddressesClearly state the full names and addresses of both the landlord and the tenant to identify the parties involved.
- Property DetailsProvide a precise description of the rented property, including its address and any relevant identifiers.
- Specific Breach DescriptionDetail the exact lease violation, such as unpaid rent or unauthorized changes, with dates and facts.
- Demand for RemedySpecify what the tenant must do to fix the issue, like paying the owed amount, and give a reasonable deadline.
- Intention to ForfeitClearly express the landlord's intent to end the lease and repossess the property if the breach isn't fixed.
- Date and SignatureInclude the date the notice is issued and the landlord's signature for validity and proof of service.
Why Free Templates Can Be Risky for Notice of Forfeiture
Free templates for commercial eviction notices often fail to account for specific lease terms, local regulations, or the unique circumstances of your commercial tenancy. Using incorrect or generic wording can lead to procedural errors, disputes over validity, or even court rejection, resulting in delays, additional costs, and potential loss of your rights to repossess the property.
Our AI-generated bespoke Notice of Forfeiture is tailored to your exact situation, incorporating precise details like lease clauses, breach specifics, and compliance with UK commercial property laws. This ensures the document is accurate, enforceable, and professionally drafted to protect your interests without the pitfalls of one-size-fits-all templates.
Generate Your Document in 4 Easy Steps
Why Use Our Docaro?
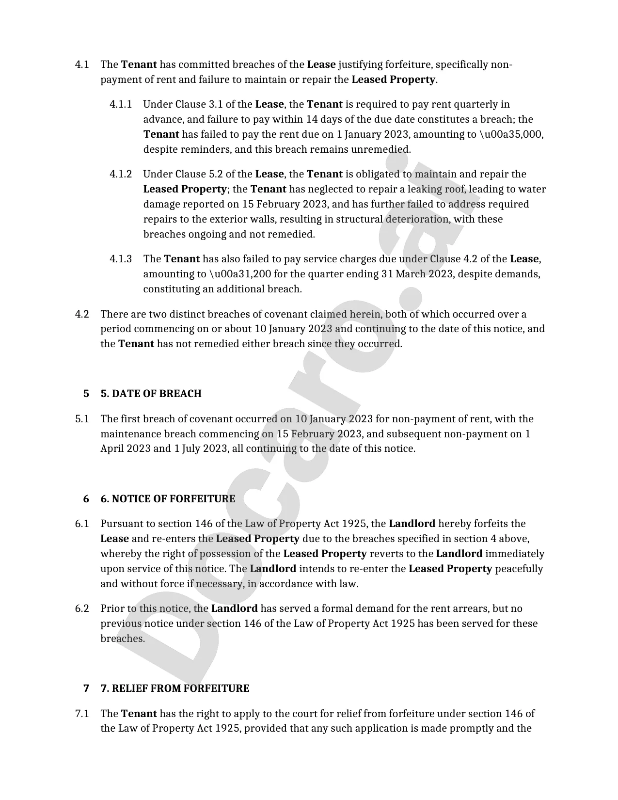
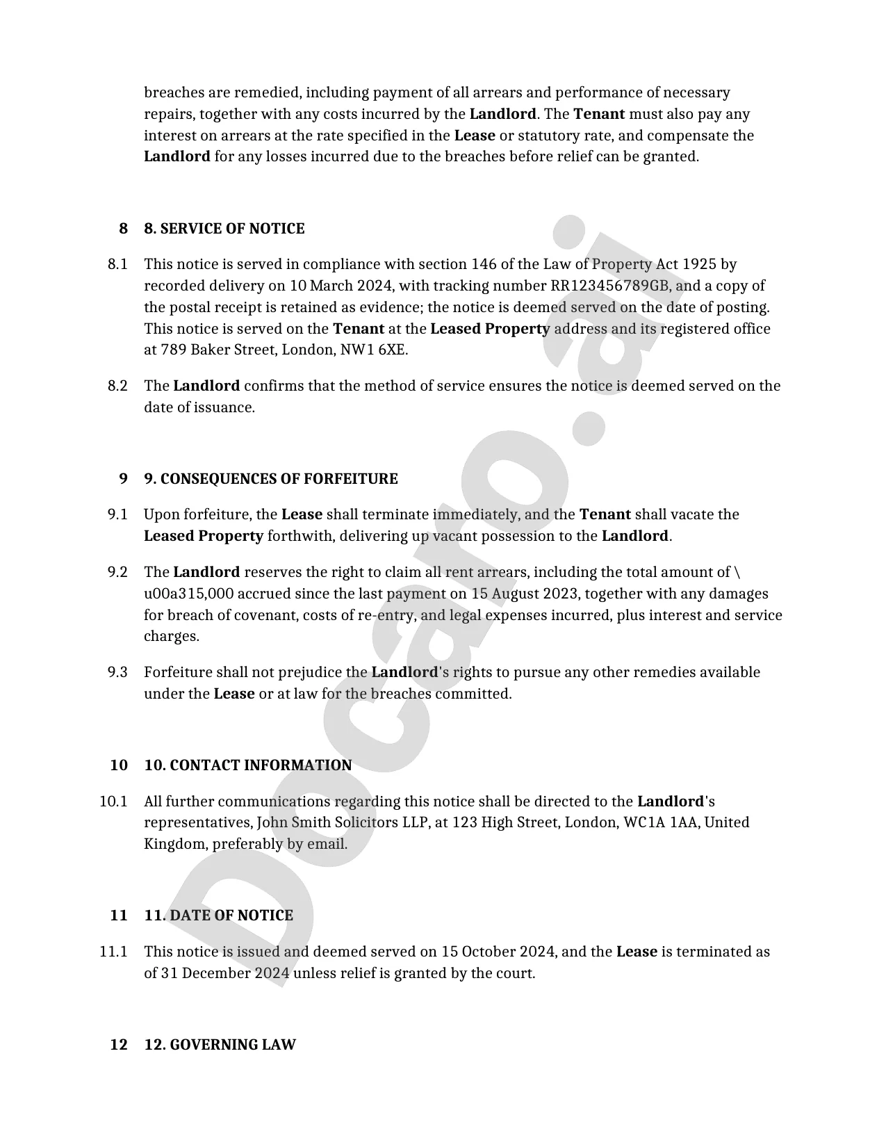
United KingdomFree Example Notice of Forfeiture Template
Below is a free template example of a Notice of Forfeiture for use in the United Kingdom generated by our AI model.
The clauses in your actual Notice of Forfeiture will vary from this example as they will be entirely bespoke to your requirements as set out in the questionnaire you complete.

Useful Resources When Considering a Notice of Forfeiture in the United Kingdom
United Kingdom Reference Legislation
Notice of Forfeiture FAQs
Document Generation FAQs
Related Articles





