What is a Share Purchase Agreement in the United Kingdom?
A Share Purchase Agreement (SPA) is a fundamental legal document in the UK used to formalise the sale and purchase of shares in a company, ensuring clarity and protection for all parties involved in the transaction. Its primary purpose is to outline the terms of the deal, including the price, conditions precedent, warranties, and indemnities, thereby minimising risks and disputes during corporate acquisitions or transfers.
In contrast to an Asset Purchase Agreement, which involves buying specific assets and liabilities of a business, an SPA transfers ownership of the entire company through its shares, meaning the buyer inherits all assets, liabilities, and operations as they stand. This difference is crucial in the UK context, as share purchases often require fewer third-party consents but may expose buyers to hidden liabilities, whereas asset purchases allow selective acquisition to avoid unwanted encumbrances.
Within corporate transactions in the UK, the SPA plays a pivotal role by serving as the cornerstone document that facilitates mergers, acquisitions, and private equity investments, often complemented by ancillary agreements like disclosure letters and escrow arrangements. For detailed due diligence and regulatory compliance under UK law, parties should consult authoritative resources such as the UK Government’s Company Law Guide.
For a comprehensive overview, refer to our guide on Understanding Share Purchase Agreements in the UK: A Comprehensive Guide. When drafting an SPA, advocate for bespoke AI-generated legal documents using Docaro to tailor agreements precisely to your transaction's needs, rather than relying on generic templates.
When should you use a Share Purchase Agreement in the UK?
A Share Purchase Agreement (SPA) is an essential legal document for scenarios involving the transfer of ownership in a company, such as when an individual or entity buys shares in a private limited company in the UK. It outlines terms like price, warranties, and conditions, ensuring a smooth transition while addressing tax implications such as stamp duty and capital gains tax, which can significantly impact the net cost to the buyer.
In mergers and acquisitions (M&A), an SPA facilitates the acquisition of a controlling stake in a target company, transferring not only shares but also associated liabilities, assets, and operations to the buyer. This structure is ideal for strategic growth, but parties must consider liability transfer, where the buyer inherits all company debts and risks, potentially requiring thorough due diligence to mitigate unforeseen obligations.
An SPA should not be used for trading shares in public companies via stock exchanges, as these transactions are governed by exchange rules and do not require bespoke agreements beyond standard brokerage processes. Additionally, opt for an asset purchase agreement instead when aiming to limit liabilities, as it allows buyers to selectively acquire specific assets without assuming the seller's historical debts or contingent liabilities.
For tailored Share Purchase Agreements suited to UK law, consider using Docaro to generate bespoke AI-driven legal documents that address unique transaction needs, ensuring compliance with regulations from authoritative sources like the Companies House.
"In the realm of UK private company share transfers, employing a Share Purchase Agreement (SPA) is strategically essential, as it meticulously delineates terms to shield both buyer and seller from unforeseen liabilities and disputes. For optimal protection, I recommend commissioning bespoke AI-generated legal documents via Docaro to ensure precision tailored to your specific transaction." – Dr. Elena Hargrove, Leading UK Corporate Law Expert
What are the key clauses to include in a UK Share Purchase Agreement?
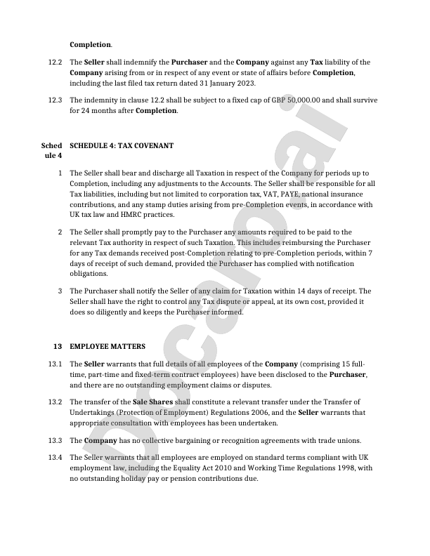
A Share Purchase Agreement (SPA) is a vital contract in UK corporate transactions, outlining the terms for transferring shares in a company. Essential clauses ensure clarity and protection for both buyer and seller, covering key aspects like price, payment, and liabilities.
The purchase price clause specifies the total amount paid for the shares, often including adjustments based on the company's net assets or working capital at completion. Payment terms detail how and when the price is settled, such as in instalments, via escrow, or with earn-outs tied to future performance, minimizing disputes in UK share sales.
Warranties and indemnities are crucial for risk allocation, where the seller provides assurances about the company's financial health, assets, and operations, backed by indemnities for any breaches. These protect the buyer from undisclosed issues, with limitations like caps on liability and time bars commonly negotiated under UK law.
Conditions precedent must be fulfilled before the deal closes, such as regulatory approvals from the Competition and Markets Authority or due diligence satisfaction. For deeper insights into these and other key clauses in a UK Share Purchase Agreement, explore our detailed article: Key Clauses to Include in Your UK Share Purchase Agreement. Always opt for bespoke AI-generated legal documents via Docaro to tailor the SPA precisely to your needs, rather than generic templates.
For authoritative guidance, refer to the UK Government's resources on share purchase agreements or the Law Society of Scotland's overview.
How do warranties and indemnities work in an SPA?
In a UK Share Purchase Agreement (SPA), warranties serve as factual statements provided by the seller to assure the buyer about the target company's condition, enabling the buyer to assess risks before completion. These warranties are crucial for due diligence, covering key areas like financials, assets, and operations, and any breach can lead to claims for damages or price adjustments.
Common warranties on financials include assurances that the company's accounts are accurate, up-to-date, and comply with UK GAAP or IFRS, with no undisclosed liabilities; for assets, warranties confirm that all listed assets are owned free of encumbrances and in good working order; operational warranties might state that the company holds necessary licenses, has no material disputes with employees, and complies with UK environmental and health & safety regulations. For authoritative guidance, refer to the UK Government guidance on SPAs.
Indemnities in a UK SPA provide specific protection against defined losses, often used for high-risk issues like tax liabilities or pending litigation, where the seller agrees to compensate the buyer directly rather than through general damages. They safeguard against breaches of warranties or other specified matters, ensuring the buyer is reimbursed for actual costs incurred, and are typically negotiated to limit the seller's exposure, such as capping amounts or setting time limits.
To ensure tailored protection in a UK SPA, consider bespoke AI-generated legal documents via Docaro, which customize warranties and indemnities to the transaction's specifics, rather than relying on generic options. This approach aligns with UK legal standards for robust, enforceable agreements.

What are the key rights and obligations of the parties in a Share Purchase Agreement?
In a UK Share Purchase Agreement (SPA), buyers hold primary rights to conduct thorough due diligence to assess the target company's financial health, legal compliance, and operational risks, ensuring they uncover any hidden liabilities before committing to the purchase. Sellers, in turn, are obligated to provide accurate and complete disclosures during this process, with warranties and indemnities protecting the buyer against post-completion discoveries, while the seller expects the buyer to act in good faith without undue delays.
Non-compete obligations typically bind the seller from engaging in competing business activities for a specified period and geographic scope after completion, safeguarding the buyer's investment in the acquired enterprise. From the seller's perspective, these clauses must be reasonable to avoid restricting their future career opportunities, often negotiated to balance the buyer's need for business continuity with the seller's right to earn a livelihood, as guided by UK competition law.
Confidentiality provisions in the SPA require both parties to maintain the secrecy of sensitive information exchanged during negotiations and due diligence, with the buyer gaining access to proprietary data under strict non-disclosure terms. Sellers benefit from reciprocal protections to prevent the buyer from using confidential insights if the deal falls through, fostering trust and compliance with UK data protection regulations like the UK GDPR.
Post-completion adjustments often involve mechanisms for price true-ups based on working capital or net asset values at closing, giving buyers rights to claw back overpayments if the company's position is worse than warranted. Sellers are obliged to cooperate in these audits and adjustments, ensuring a fair final valuation, though disputes may lead to expert determination as outlined in standard UK commercial practice.

Are there any key exclusions to consider in a UK Share Purchase Agreement?
In a Share Purchase Agreement (SPA) under UK law, important exclusions such as limitations on liability are crucial to cap the financial exposure of sellers and buyers, preventing unlimited claims that could derail post-transaction stability. These clauses typically set monetary thresholds or time limits on claims, protecting parties from disproportionate risks while ensuring fairness in commercial deals, as governed by the Unfair Contract Terms Act 1977.
Excluded warranties in an SPA allow parties to disclaim certain representations, like those on future projections or non-material assets, which might otherwise imply guarantees under common law principles. By explicitly excluding these, sellers avoid unintended liabilities for unforeseen issues, while buyers can negotiate specific protections elsewhere, aligning with the principle of caveat emptor in UK contract law.
Carve-outs for certain risks, such as environmental or regulatory liabilities, provide exceptions to broad exclusions, ensuring that known high-impact issues remain actionable. This balances risk allocation in SPAs, safeguarding buyers from hidden dangers while allowing sellers to offload minor concerns, often referencing UK-specific frameworks like the Companies Act 2006 for corporate governance.
- For tailored SPAs with robust exclusions, consider bespoke AI-generated legal documents via Docaro to ensure compliance with UK regulations.
- Always consult qualified UK legal professionals to customize these elements for your transaction.
What recent or upcoming legal changes affect Share Purchase Agreements in the UK?
The UK's legal framework for Share Purchase Agreements (SPAs) remains largely stable following the implementation of key post-Brexit adjustments, with no major overhauls to the Companies Act 2006 in recent years directly impacting SPAs. Businesses engaging in share transactions should note that while core principles persist, ongoing economic crime regulations under the Economic Crime and Corporate Transparency Act 2023 introduce enhanced due diligence requirements to combat illicit finance.
Recent updates emphasize corporate transparency, mandating stricter identity verification for beneficial owners in SPAs to align with anti-money laundering standards. For the latest guidance, consult authoritative sources like the Companies House website, which provides detailed resources on compliance.
Brexit-related changes have stabilized, focusing on continuity for cross-border elements in SPAs, but parties should verify jurisdiction clauses to ensure enforceability under UK law. If no significant shifts apply to your transaction, the established framework offers predictability; always seek tailored advice from legal professionals or use bespoke AI-generated documents via Docaro for precision.
How can you avoid common mistakes when drafting a UK Share Purchase Agreement?
One frequent pitfall in UK Share Purchase Agreements (SPAs) is inadequate due diligence, where buyers overlook critical financial or legal issues in the target company, leading to unexpected liabilities post-acquisition. To avoid this, conduct thorough investigations into the company's assets, contracts, and compliance with UK regulations, such as those outlined by the Companies House.
Vague terms in SPAs often result in disputes over warranties, indemnities, or completion conditions, potentially derailing the deal or causing costly litigation. Ensure all clauses are precisely defined with clear timelines and responsibilities, and consider using bespoke AI-generated legal documents via Docaro for tailored precision that avoids generic pitfalls.
Another common mistake is neglecting post-completion obligations, like employee transfers under TUPE rules, which can expose parties to unforeseen claims. Mitigate this by explicitly addressing integration plans and regulatory compliance in the agreement, and consult resources from the UK Employment Tribunals for guidance on labour aspects.
For more in-depth insights on common mistakes to avoid in UK Share Purchase Agreements, explore our detailed guide at Common Mistakes to Avoid in UK SPAs.
1
Conduct Initial Due Diligence
Review the target company\u2019s financials, legal status, and operations to identify risks before proceeding with the share purchase.
2
Engage Legal Counsel
Consult experienced UK solicitors to guide the process and ensure compliance with relevant laws and regulations.
3
Negotiate Key Terms
Discuss and agree on essential clauses like price, warranties, and conditions with the seller and advisors.
4
Finalize with Docaro
Use Docaro to generate a bespoke Share Purchase Agreement tailored to your negotiated terms for accuracy and efficiency.