AI Generated Letter of Claim for use in the United Kingdom
PDF & Word - 2026 Updated

Docaro Pricing
When do you need a Letter of Claim in the United Kingdom?
- Before starting a legal disputeA Letter of Claim is used to formally notify the other party of your complaint and give them a chance to resolve the issue without going to court.
- In debt recovery situationsIt's essential when chasing unpaid debts, as it outlines the amount owed and sets a deadline for payment to avoid further action.
- For contract disagreementsSend it when someone has breached a contract, detailing the problem and what you expect them to do to fix it.
- In personal injury claimsIt's required to inform the responsible party about an accident or injury and start the compensation process.
- To encourage early settlementsA well-drafted letter can prompt the other side to negotiate or settle quickly, saving time and money on legal proceedings.
- Meeting legal requirementsUsing a clear and proper Letter of Claim helps ensure your case follows UK rules, reducing the risk of delays or dismissal.
British Legal Rules for a Letter of Intent
- Non-Binding NatureA letter of intent usually outlines preliminary intentions but does not legally bind parties to any agreement.
- Clear IntentionsIt should clearly state the purpose and key terms to avoid misunderstandings between parties.
- Written FormatWhile not always required, writing it down helps in proving what was discussed if disputes arise.
- Key Details IncludedInclude essential information like parties involved, proposed terms, and any timelines for further actions.
- Potential for Binding PartsCertain sections, like confidentiality clauses, can be made legally enforceable if specified.
- Seek Legal AdviceAlways consult a lawyer to ensure it fits your specific situation and complies with UK laws.
Using a letter of intent instead of a binding contract may inadvertently create enforceable obligations or fail to protect your interests adequately.
What a Proper Letter of Claim Should Include
- Your DetailsInclude your full name, address, and contact information at the top to identify you clearly.
- Recipient's DetailsState the full name and address of the person or company you are claiming against.
- Clear Description of the IssueBriefly explain what went wrong, such as a faulty product or unpaid service, with relevant dates.
- What You WantSpecify the remedy you seek, like a refund, repair, or payment of a certain amount.
- Amount ClaimedIf money is involved, state the exact amount you are claiming, including any interest or costs.
- Deadline for ResponseGive them a reasonable time, usually 14 or 28 days, to reply or meet your demands.
- Next Steps WarningMention that if they do not respond or act, you may take further action like court proceedings.
- Date and SignatureEnd with the date of the letter and your signature to make it official.
Why Free Templates Can Be Risky for Letter of Intent
Free templates for letters of intent often use generic language that fails to address specific UK legal requirements, such as proper notice periods or jurisdictional clauses. This can lead to misunderstandings, unenforceable terms, or disputes that undermine the intent's purpose in negotiations or agreements.
Our AI generates bespoke letters of intent tailored to your unique circumstances, incorporating precise UK-compliant wording to clearly outline terms, protect interests, and facilitate smooth proceedings without the pitfalls of one-size-fits-all templates.
Generate Your Document in 4 Easy Steps
Why Use Our Docaro?
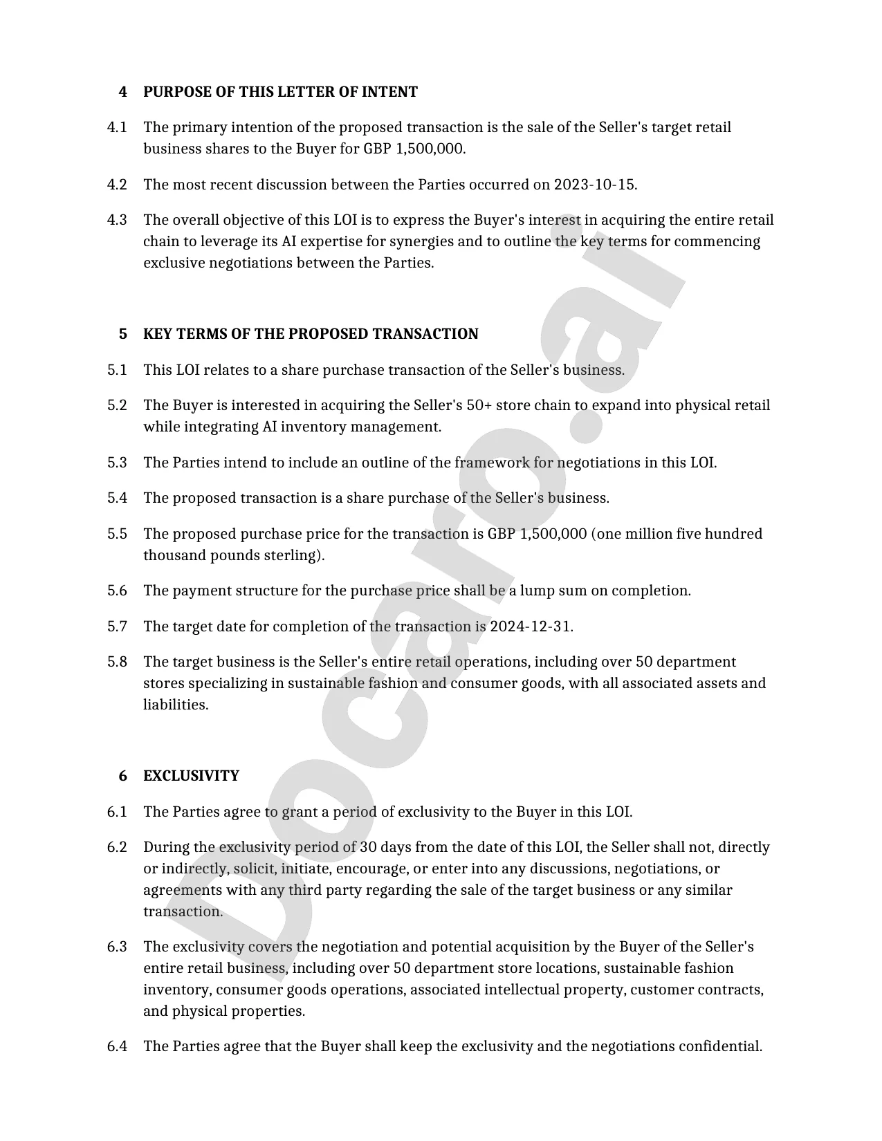
United KingdomFree Example Letter of Intent Template
Below is a free template example of a Letter of Intent for use in the United Kingdom generated by our AI model.
The clauses in your actual Letter of Intent will vary from this example as they will be entirely bespoke to your requirements as set out in the questionnaire you complete.

Useful Resources When Considering a Letter of Intent in the United Kingdom
United Kingdom Reference Legislation
Letter of Intent FAQs
Document Generation FAQs
Related Articles








