KI-generiertes Arbeitszeugnis für den Einsatz in Deutschland
PDF & Word - 2026 Aktualisiert

Docaro Preise
Wann brauchst du ein Arbeitszeugnis in Deutschland?
- Bei JobwechselEin Arbeitszeugnis fasst deine Leistungen beim vorherigen Arbeitgeber zusammen und hilft, neue Chancen zu ergreifen.
- Für BewerbungenViele Arbeitgeber verlangen ein Zeugnis, um deine Zuverlässigkeit und Kompetenzen zu prüfen.
- Als KündigungsschutzEs schützt dich, indem es ehrliche Bewertungen deiner Arbeit dokumentiert und Streitigkeiten vermeidet.
- Für WeiterbildungFür Fortbildungen oder Wechsel in andere Branchen zeigt es deine beruflichen Erfolge klar auf.
- Warum eine gute Formulierung wichtig istEin gut verfasstes Zeugnis hebt deine Stärken hervor und verbessert deine Aussichten auf dem Arbeitsmarkt erheblich.
Deutsche Rechtsregeln für ein Arbeitszeugnis
- Gesetzliche GrundlageDas Arbeitszeugnis ist durch das deutsche Arbeitsrecht, insbesondere § 109 GewO, geregelt und muss bei Beendigung des Arbeitsverhältnisses ausgestellt werden.
- Pflicht zur AusstellungDer Arbeitgeber ist verpflichtet, ein Zeugnis auf Verlangen des Arbeitnehmers zu erstellen, unabhängig vom Grund der Beendigung.
- Inhalt des ZeugnissesEs muss die Dauer der Beschäftigung, die Art der Tätigkeit und eine Bewertung der Leistung enthalten, immer in positiver oder neutraler Formulierung.
- FormulierungenNegative Aspekte dürfen nur indirekt und verschlüsselt angedeutet werden, um den Arbeitnehmer nicht zu benachteiligen.
- Recht auf EinsichtDer Arbeitnehmer hat das Recht, das Zeugnis vor Ausstellung zu prüfen und ggf. Widerspruch einzulegen.
- Rechtsfolgen bei FehlernBei unvollständigen oder falschen Zeugnissen kann der Arbeitnehmer Schadensersatz verlangen oder ein neues Zeugnis fordern.
Die Verwendung der falschen Art oder Struktur eines Empfehlungsschreibens kann zu rechtlichen oder beruflichen Konsequenzen führen.
Was ein ordnungsgemäßes Arbeitszeugnis enthalten sollte
- Persönliche DatenName, Geburtsdatum und die Dauer der Beschäftigung des Mitarbeiters.
- TätigkeitsbeschreibungEine klare Auflistung der Aufgaben und Verantwortlichkeiten während der Beschäftigung.
- Verhalten und TeamfähigkeitBewertung des Umgangs mit Kollegen, Vorgesetzten und Kunden.
- Leistung und ErgebnisseZusammenfassung der beruflichen Erfolge und Qualität der Arbeit.
- Grund für das EndeHinweis auf das Beendigungsdatum und den Umstand der Trennung, ohne Details.
- ZukunftsempfehlungEine positive Aussicht auf eine Wiedereinstellung oder Weiterempfehlung.
Warum kostenlose Vorlagen für Arbeitszeugnisse riskant sein können
Kostenlose Vorlagen für Arbeitszeugnisse bergen erhebliche Risiken. Sie sind oft veraltet, passen nicht zu den spezifischen Anforderungen Ihres Unternehmens und berücksichtigen nicht die aktuellen gesetzlichen Vorgaben in Deutschland. Eine ungültige oder unpassende Formulierung kann zu rechtlichen Problemen führen, wie z. B. Streitigkeiten mit Arbeitnehmern oder behördlichen Nachfragen. Zudem fehlt es an Individualität, was das Zeugnis unglaubwürdig wirken lässt und den professionellen Standard mindert.
Mit unserer KI-generierten maßgeschneiderten Arbeitszeugnisse erhalten Sie ein individuelles Dokument, das präzise auf den Mitarbeiter und Ihren Kontext abgestimmt ist. Die KI berücksichtigt aktuelle Rechtsvorgaben, verwendet korrekte Formulierungen und stellt sicher, dass das Zeugnis authentisch und überzeugend wirkt. So sparen Sie Zeit, minimieren Risiken und liefern ein hochwertiges Ergebnis, das den Anforderungen deutscher Unternehmen gerecht wird.
Erstellen Sie Ihr Dokument in 4 Einfachen Schritten
Why Use Our Docaro?
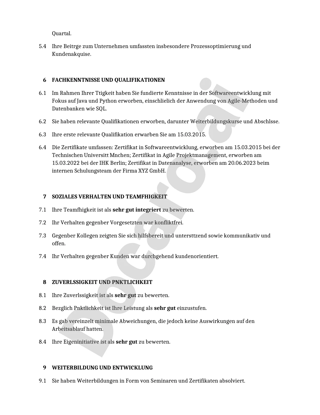
DeutschlandKostenloses Beispiel Arbeitszeugnis Vorlage
Hier ist ein Beispiel für eine kostenlose Vorlage eines Arbeitszeugnis zur Verwendung in Deutschland, generiert von unserem KI-Modell.
Die Klauseln in Ihrem tatsächlichen Arbeitszeugnis werden von diesem Beispiel abweichen, da sie vollständig maßgeschneidert auf Ihre Anforderungen zugeschnitten sind, wie sie im Fragebogen angegeben sind, den Sie ausfüllen.

Nützliche Ressourcen beim Überlegen eines Arbeitszeugnis in Deutschland
Deutschland Referenzgesetzgebung
Häufig gestellte Fragen
Häufig gestellte Fragen zur Dokumentengenerierung
Verwandte Artikel




